青岛天博注册主要代理天博(中国),哈希,hach,美国hach,天博(中国)代理公司,哈希总代理,实验室仪器,天博(中国)实验室仪器等仪器设备

18 YEARS多年专注于实验室整体解决方案

咨询服务热线1866399991218816397790

热门关键词: 上海龙跃 厦门致微 北京普析 天博(中国)代理公司 美国hach hach 哈希 天博(中国) 

SOLUTION
解决方案

NEWS
行业资讯

凯氏定氮法测定饲料中蛋白质含量

天博(中国)

18663999912

仪器与试剂仪器
K1160 全自动凯氏定氮仪,SH420F 石墨消解仪
试剂
硫酸滴定液c(H+)=0.1mol /L、2%硼酸溶液:质量分数、40%氢氧化钠溶液、溴甲酚绿-甲基红混合指示剂、催化剂片等。


实验方法样品制备
取样品适量用粉碎机打碎且混合均匀。
实验过程
称取制备好的样品约0.2-0.5g(精确至0.1mg),用称量纸包好后一并投入消化管中,加一片催化剂片(或者3g硫酸钾、0.2g硫酸铜),加入10mL浓硫酸。
利用石墨消解炉进行消解,将消化管放在石墨炉上,盖上排气罩,连接废气吸收系统, 设定消解温度参数如下表:

温度(℃) 时间(min)
1 200 15
2 420 90-120

消化完毕后,将消化管取下冷却。待消化管内溶液冷却至室温后,将消化管放置于定氮仪上,开始蒸馏滴定。定氮仪设置程序如下:

硼酸 稀释水 碱液 蒸馏量 蒸汽流量
25ml 20ml 40ml 300s 100%

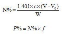
实验结果仪器自动滴定并计算,计算公式如下。

式中:c-标准酸摩尔浓度(mol/L)
W-样品质量(g)
V0-空白样滴定标准酸消耗量(mL)
V-样品滴定标准酸消耗量(mL),精确到小数点后四位
f-蛋白质系数
①红鱼粉(蛋白转换系数6.25)

ONLINE MESSAGE
给天博注册留言 获取实验室整体解决方案

咨询服务热线
18663999912

微信号码
186 6399 9912

天博注册邮箱
qdyjh1977@126.com

电话:18663999912

QQ :116623214

微信:186 6399 9912

邮箱:qdyjh1977@126.com

地址:青岛市李沧区青山路716号海尔鼎世华府B区

扫一扫
快速咨询实验室整体解决方案

版权所有©天博注册

备案号:鲁ICP备18036238号-1 鲁公网安备 37020302371331号

网站建设一瞬网络